您的位置:   网站首页    产品中心    苯基硅油    二苯基四硅氧烷 IOTA 234

产品详情
为您推荐

二苯基四硅氧烷 IOTA 234

二苯基四硅氧烷 IOTA 234


与甲基硅油、液体硅橡胶、苯基硅橡胶、苯基硅树脂有良好的相溶性,可以用作加成型硅橡胶、苯基硅橡胶、苯基硅树脂的交联剂。

产品简介: 
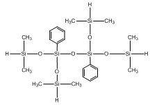
化学名称:3,5-双(二甲基硅氧基)-1,1,7,7-四甲基-3,5-二苯基四硅氧烷

别       名:1,1,3,3-四(二甲基硅氧基)-1,3-二苯基二硅氧烷 


中文名称:
1,3-二苯基-1,1,3,3-四(二甲基硅氧基)二硅烷

中文别名:

3,5-双(二甲基硅氧基)-1,1,7,7-四甲基-3,5-二苯基四硅氧烷

英文名称:
[[bis[(dimethyl-λ3-silanyl)oxy]-phenylsilyl]oxy-(dimethyl-λ3-silanyl)oxy-phenylsilyl]oxy-dimethylsilicon

英文别名:

Tetrasiloxane,3,5-bis((dimethylsilyl)oxy)-1,1,7,7-tetramethyl-3,5-diphenyl;


CAS: 66817-59-2


化学式:

外观:无色透明液体

比重:1.005

折光率, 20℃:1.4622

沸点℃:95-96°C/ 0.25mmHg

闪点, COC, ℃:> 110

含量 (GC) % ≥:95

产品应用:

与甲基硅油、液体硅橡胶、苯基硅橡胶、苯基硅树脂有良好的相溶性,可以用作加成型硅橡胶、苯基硅橡胶、苯基硅树脂的交联剂。

贮存包装:
包装为15kg, 200kg涂层铁桶,贮存于通风阴凉处




联系人:张经理

地址: 安徽省蚌埠市高新区兴中路985号

手机/微信: 19805521900/18119733779

Skype: zhangyang8777

QQ: 729118868

邮箱:info@iotasilicone.com

网址: www.iotasilicone.com




在线QQ咨询,点这里

QQ咨询

微信服务号